一元函数微分的本质

相关图片

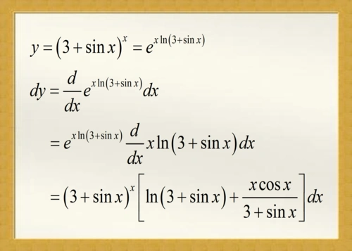
求(sinx 3)^x的微分

微分几何曲线论

微分公式

这两道微分怎么做

微分中的dx与定积分中的dx含义相同吗

随机推荐

发型图片网,短卷发造型今年流行减龄短发烫发型30款,外翘卷扣短发

2022韩式中分发型男,别致的清新自然风

笑起来很治愈的小清新甜妹头像 温暖阳光的笑容灿烂治愈系女头

在上海滩的牛仔裤的男青年的侧视图

中国国风杏色小学生校服春秋秋季新款老师套装校服

于朦胧青年为国之栋梁,青年文化取向影响社会文化走向 .演员,歌手 于

花朵大花臂 花朵主题的正宗大花臂纹身作品

狄波拉:从"弃婴"到港姐,29岁生谢霆锋,在找寻自己喜欢的活法