北京东路的日子歌词

相关图片

北京东路的日子

北京东路的日子歌词欣赏

汪源《北京东路的日子》尤克里里谱_c调原版编排_一树一花制谱

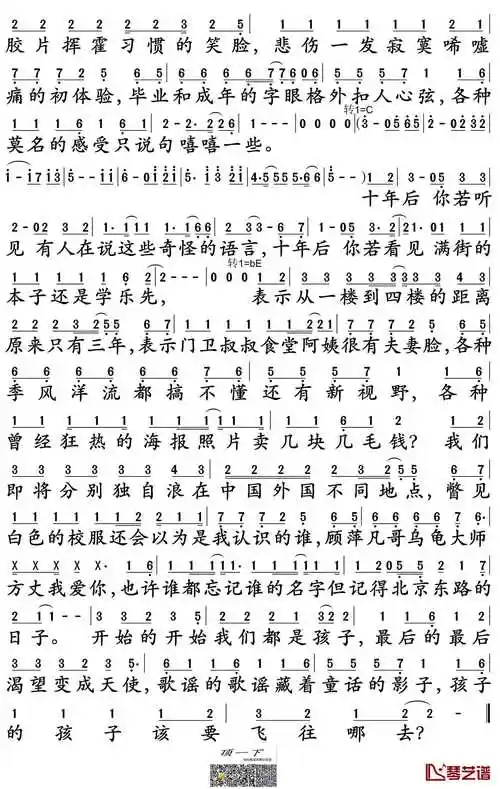
北京东路的日子简谱歌词华语群星-北京东路的日子词:汪源曲:汪源编曲

北京东路的日子的歌谱

随机推荐

周杰伦超清最帅的头像图片_明星头像_美头网

李凯馨飒爽古装写真桌面壁纸_大陆明星_壁纸下载_美桌网

私人聚会,婚礼,企业年会)自助餐/西式分餐(公司开业庆典,年会,)

psd和谐古典中国风校园文化展板psd下载

北京之夜:林志玲大变样,胡歌风采依旧,关晓彤伤痕累累

唯美古风动漫女生头像|真正的喜欢,是想要有以后的

黄金比例身高男女身高黄金配比表出炉

西瓜投手儿童画怎么画西瓜投手简笔画简单又好看