简介:范冰冰白皙性感代言写真图片,分享一组范冰冰图片给大家,图中的

相关图片

范冰冰成功在日本复出宣传照片尺度有点大网友以后请叫范老师你如何

广告在日本漫天飞,复出方式与众不同|范冰冰|复出|广告牌_新浪新闻

范冰冰成功在日本复出

范冰冰在日本成功复出大尺度广告遍布大街小巷可惜了曾经的女神

范冰冰复出再次点燃娱乐圈唇环鼻钉全安排这次玩得嗨

随机推荐

加拿大多伦多,第48届多伦多电影节, 刘德华,宁浩出席《红毯先生》首映

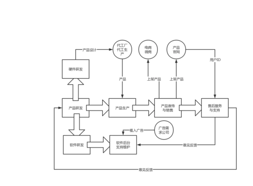
商业模式

李晨经纪人合作洽谈13524211195

送妹妹出嫁?来办一场80年代的怀旧婚礼|复古_哔哩哔哩_bilibili

黄晓明说尚雯婕是舞台王者##尚雯婕黄晓明一个敢夸一个敢回

本小up只更mewgulf又帅又甜的高清大图

北京宋庄为啥能集聚7000位艺术家看它的开放式公园设计就明白了

音乐会音乐节宣传海报