2,发型要根据脸型来定!圆脸长直发超显胖,长脸,方脸刘海是重点

相关图片

时尚减龄又显气质,主要是显脸小(女生大圆脸适合什么发型短发) - 冷求

胖人适合的发型图片,胖人适合什么发型(谁说胖子没有帅气的发型了)

圆脸胖人适合什么发型 胖嘟嘟脸的女生短发发型

中年男士发型不怕简单就怕不够显瘦 圆脸男胖子适合什么发型看图片

显胖不说,还特显老_齐刘海_显得_圆脸

随机推荐

迪丽热巴天台撑伞氛围感大片释出眼神凝视霸气侧漏

杨幂复古国风芭莎大片# #杨幂时尚芭莎二月刊封面# 一边 - 抖音

武汉荣东岗亭厂家 供应各类钢结构岗亭 收费岗亭 门卫岗亭 款

演员王新军:成名后抛妻弃子,把秦海璐宠成宝,前妻红了

仙气女生头像

头孢克肟颗粒(特力素)主要用于治疗支气管炎,支气管扩张合并感染,慢性

帅哥同框来了!王一博蔡徐坤同台送祝福,头身比差距太尴尬

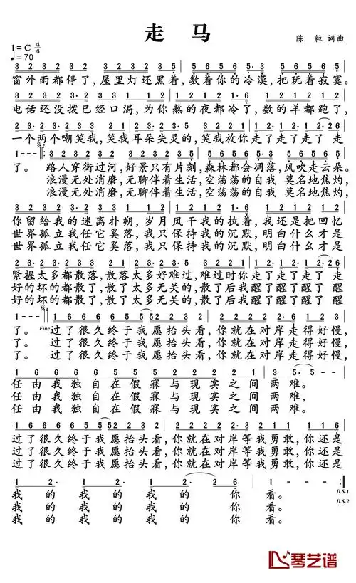
走马简谱-陈粒-散了后我醒了醒了醒了1