大鱼-简单完整版双手简谱预览2

相关图片

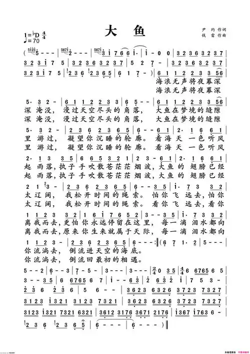
大鱼简谱(歌词)-周深演唱-《大鱼海棠》动画电影印象曲1

大鱼古筝曲谱

大鱼简谱

《大鱼》简谱 唯美动听完整 钢琴谱 大鱼讲述了一个感人的故事 95一

大鱼海棠崔晓彤 - 大鱼海棠 伴奏 古筝演出伴奏 简谱五线谱 - 福曜

随机推荐

收藏级虎牙天珠

【电视剧推荐2021古装】待播古装热度榜:第三名让人意外,《玉骨遥》

微距鲜花摄影唯美写真,高清图片,电脑桌面-壁纸族

新一代锐界及cr-v领衔 成都车展suv车型盘点

统一来一桶老坛酸菜面120克香辣味 泡面碗面方便速食桶面整箱包邮

景甜郑爽班级合照大甜甜以绝对优势胜出阚清子就输在脖子上了

勇气原版吉他谱

我要代表月亮消灭你!美少女战士 水冰月 超萌搞怪卡通头像 壁纸ing