一块红布吉他谱_崔健_g调吉他弹唱六线谱_生产队编配

相关图片

一粒麦子吉他谱(图片谱,弹唱)_小羊诗歌(lamb music)_一粒麦子03.gif

官方原版 一粒麦子 官方原版简谱 一粒麦子 官方原版吉他谱 钢琴谱 查

[每日赞美诗]20180614 一粒麦子 - 祈祷基督网

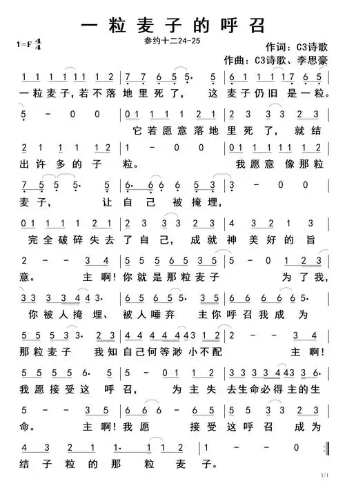
一粒麦子简谱_一粒麦子简谱带和弦

粉刷匠少儿吉它弹唱版吉他谱

随机推荐

prada2024秋冬男装时装秀##李现米兰时装周

美篇

田世光花鸟画中的秋天,太美啦!|工笔|国画|书画|画派_网易订阅

绝美海棠花壁纸合集

马嘉祺绝美壁纸合集:可以设置手机开屏 锁屏

秦霄贤的神仙照片分享 台上追随秦霄贤 台下不扰秦凯旋 白月光会一直

节物岂不好 秋怀何黯然,十首有关秋怀的诗词,畅怀秋天的风景

这些误解和谣言有时源自某种误解,有时则是恶意传播