简约线条纹身简约线条纹身手稿简约线条纹身手稿图案

相关图片

今日纹身图案分享 蛇纹身 #纹身分享##纹身设计##北京纹身店

手稿经典线条美女纹身图案

极简线条纹身极简线条纹身手稿图案大全

34张猫纹身手稿线条简单图案

简约线条纹身简约线条纹身手稿简约线条纹身手稿图案

随机推荐

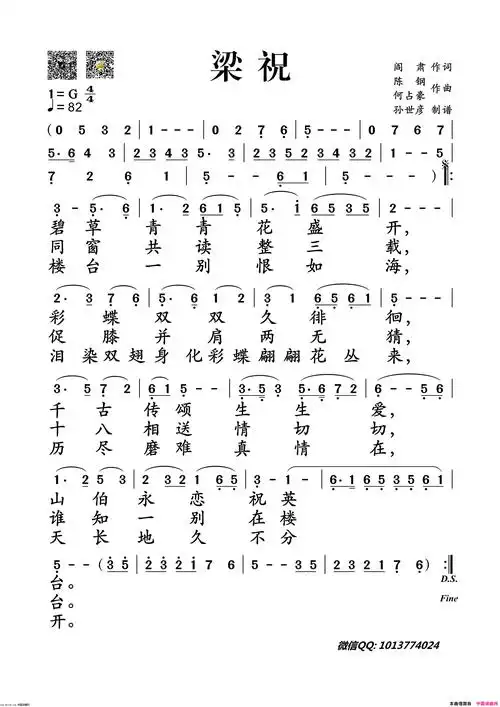
《梁祝》,原创歌曲简谱,通俗歌曲,国语歌曲谱 - 歌曲简谱 - 声乐谱

女款尺码表

各明星六月行程大汇总:赵丽颖,迪丽热巴,赵露思,许凯,刘学义

张子枫主演,现实题材电影《我的姐姐》发布定档预告

那个经典的国产翻盖——夏新a865手机

福特gt

winter wonderland-圣诞歌曲-冬日仙境(简谱 需改编)

李荣浩纵横四海世界巡回演唱会