模特简谱-李荣浩演唱-李荣浩/李荣浩词曲1

相关图片

李荣浩麻雀钢琴简谱78

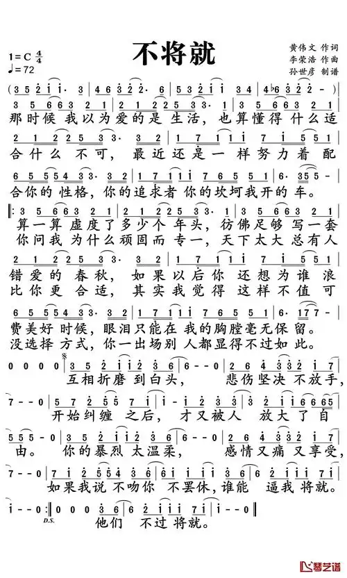
不将就简谱-李荣浩-如果我说不吻你不罢休,谁能逼我将就1

《李荣浩》吉他简谱c调弹唱谱(老街)|高清吉他曲谱

喜剧之王简谱(歌词)_李荣浩演唱_小叶歌制谱

06615基础成人秒弹-注简谱-李荣浩-乌梅子酱~ 78全网首发简易

随机推荐

中英文logo_好搜图片

原来门槛石还可以这样来做自己家做得实在太普通了

网红玩具史莱姆水晶泥有毒千万别玩了更不能给您的孩子玩

有哪些适合super amoled屏幕的黑色壁纸? - 知乎

宝石蓝.纯色 素材 壁纸

舞台灯光与帷幕背景图片

电视剧使命第一部大结局电视剧使命讲的是什么

二胎兄妹,兄弟卡通图片