螺纹螺距

相关图片

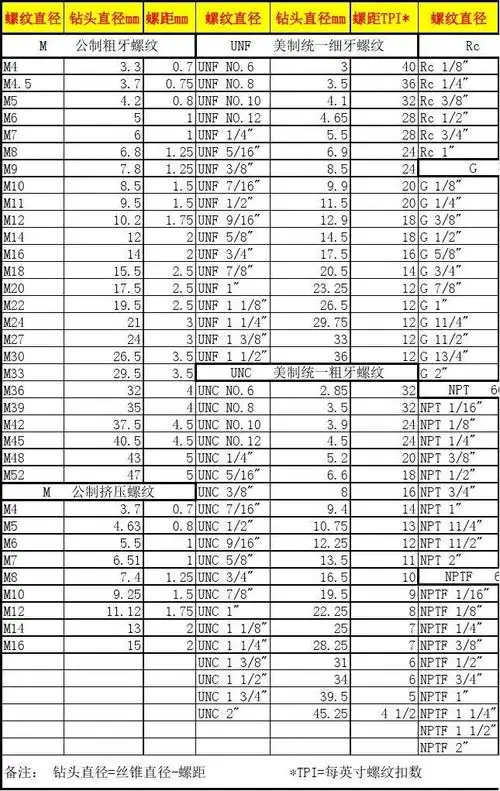
螺纹标准螺距表

gb/t 193-2003 普通螺纹 直径与螺距系列

螺纹螺距

梯形螺纹(内外螺纹)基本尺寸表螺距2-24

螺纹标准螺距表

随机推荐

电饭煲电路图及其原理讲解

《大江大河2》完结前夕杨采钰终出场,成王凯帮手却被指表情浮夸

81年男星颜值排行,宋小宝小沈阳同岁,余文乐第二

陈坊新苑

摩羯座头像

粉丝给关晓彤拍照故意关掉美颜看到她原相机下的模样鹿晗赚了

dota2攻略dota2皮肤至宝介绍攻略

北京师范大学学业证书