三维动态练习

相关图片

三维动画/二维动画/mg动画/3d立体影片动画

背景 卡通 艺术设计 三维 视觉效果

手机3d动态壁纸下载_手机高清动态壁纸3d_3d美女手机动态壁纸

432_243gif 动态图 动图

三维花瓣散开漂亮gif动图_动态图_表情包下载_soogif

随机推荐

张艺兴 新闻 从出道初期的刘海小甜到如今的大背头总裁,艺兴的发型

民航客机 飞机起飞降落 高空飞行 高清实拍视频素材合辑

彩带风铃

如果头文字d的故事发生在中国主角们都会选什么车

喋血孤岛男主角刘恺威壁纸

成龙大哥的双眼皮是割的!果真是走在娱乐圈前沿的人

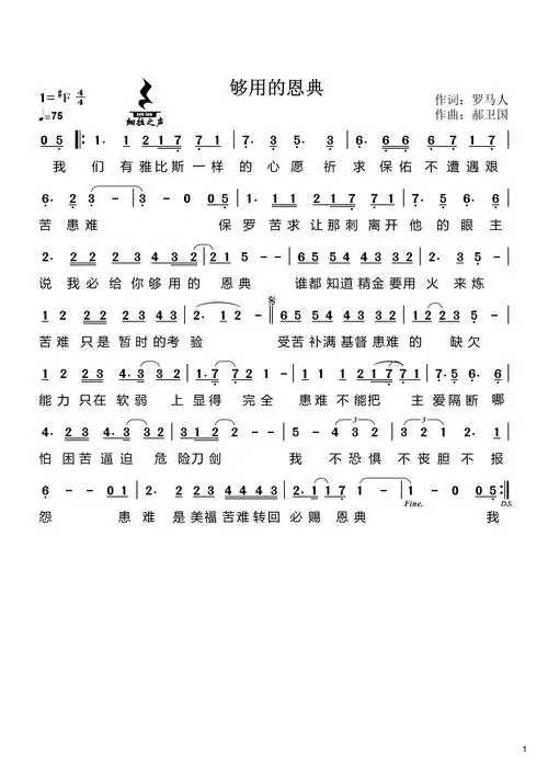
够用的恩典 简谱_简谱_乐谱吧

新款儿童泳衣女大童连体温泉速干防晒游泳衣女孩游泳衣一件代发