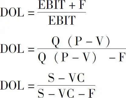
经营杠杆系数dol (反映经营杠杆作用程度,f所起的杠杆作用大小)▲定义

相关图片

会计【考点四】经营杠杆系数,财务杠杆系数和总杠杆系.

如何确定企业的经营杠杆系数

会计【考点四】经营杠杆系数,财务杠杆系数和总杠杆系.

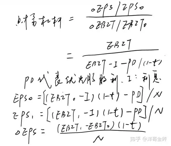
经营杠杆系数和财务杠杆系数的推导

利润总额是税前利润吗(经营杠杆系数,财务杠杆系数,及总杠杆系数)

随机推荐

现在男生流行发型(2020年适合男生的发型) - 月牙知识库

古力娜扎大晒健身照!86斤体重却100斤曲线,果然塑型比变瘦新的

针尖向下,充分扫散后,嘱咐病人做紧握拳头,手指掌屈和手腕掌屈的再

梦幻之城网页登录

谢允,等着我【有翡 | 赵丽颖x王一博 周翡x谢允】

d030 女生动漫插画电子图274张 手绘人物速写线稿素材 持续更新

吕一古装这种我见犹怜的感觉555 不过我还有另一个更喜欢的角色!

北京国际电影节.#刘耀文 lv只给意中人打花标# 亮相第十四 - 抖音