原创媒体曝22岁关晓彤疑和鹿晗同居,网友用"显微镜眼"发现端倪

相关图片

鹿晗关晓彤七夕浪漫约会!大长腿瞩目,恋爱六年何时能结婚?

鹿晗关晓彤好好嗑

鹿晗朋友圈晒和关晓彤合照,捧脸对视太甜蜜,网友:终于秀恩爱了

甜蜜暴击!关晓彤卡点为鹿晗庆生,男方私生活混乱不攻自破

鹿晗关晓彤好好嗑

随机推荐

虎斑收录女生头像红头像清新唯美可爱女头

100种可爱简笔画简单的画法100种

佟大为秋冬成熟稳重气质写真图片

原创"粗腿"女孩谨慎穿衣,短裙不仅让你暴露缺点还让你尝尽苦头!

2021最新苹果手机壁纸iphone12墙纸图片大全超清好看 - 知乎

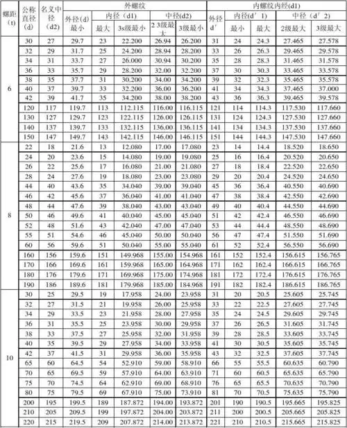
梯形螺纹基本尺寸表螺距6-10

小丑

那年那兔那些事儿那兔头像喜欢那兔的集美不用担心没有头像la 2转