山水画客厅挂画办公室装饰画中式沙发背景墙手绘国画水墨壁画字画

相关图片

3d新中式水墨山水画古典素雅意境墙布沙发电视背景墙酒店茶室壁纸

新款山水画墙布客厅背景墙主播直播间壁画.#新中式8d山水风景 - 抖音

电视背景墙山水画图片

新中式抽象山水画墙纸自粘风景画客厅沙发背景墙装饰贴画墙贴壁纸

岩板背景墙 040404 总有你喜欢的山水画979797 - 抖音

随机推荐

张信哲慢慢走从不荒废任何对错

六款绿色树叶装饰的木框边框相框图片免抠素材

双人动漫闺蜜头像抱走吱声

虽然李小璐在"夜宿门"事件后的生活和事业有了很大的变化,但这些变化

eva 第一使徒——亚当(adam)

4,男生身高175斤,体重140斤,体型在正常范围内,可以穿l码的衣服;不

龚俊白色运动鞋白袜

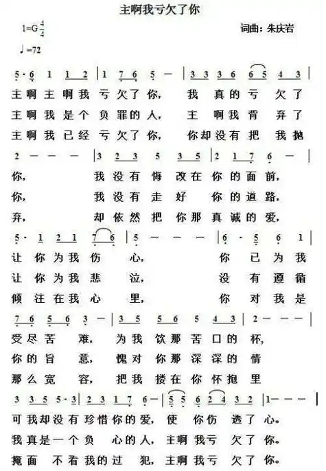
基督教主啊我亏欠了你诗歌歌曲歌谱