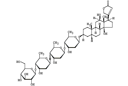
去乙酰毛花苷注射液

相关图片

去乙酰毛花苷注射液 2ml:0.4mg*5支 成都倍特药业有限公司

检索去乙酰毛花苷

通 用 名 去乙酰毛花苷注射液

p>去乙酰毛花苷,用于急,慢性收缩性心功能不全,心房颤动和阵发性室上

去乙酰毛花苷注射液说明书版

随机推荐

背景图 手写 文字ins cr.飞船起飞了

男生最潮寸头短发发型 高颜值寸头男神个个都帅爆了

王俊凯妈妈好年轻气质十足啊 #王俊凯#王俊凯妈妈 祝#王俊 - 抖音

tnt时代少年团马嘉祺丁程鑫宋亚轩刘耀文严浩翔手幅同款应援周边

圆明园烧毁前的照片还原,震撼全世界!

21韩艺博1.点评拉丁舞学生作业

肖战x 蒙牛真果粒 | 2021顺顺粒粒

小哪吒到底是三头六臂还是八臂