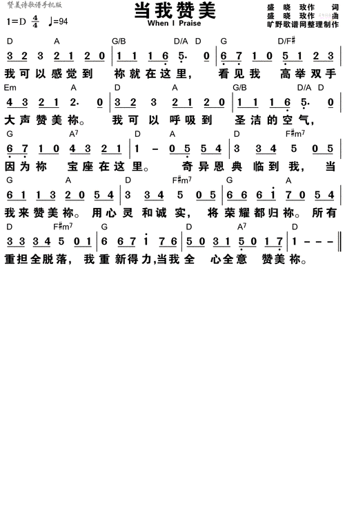
当我赞美非洲鼓箱鼓鼓谱

相关图片

[每日赞美诗]20180227 当我赞美 - 祈祷基督网

当我赞美简谱歌词 - 苹果dj站曲谱-pc.pingguodj.com

陈柏宇-医生的悲哀情感至深 谁都感激我懂救助有情人团圆盛况 位位都

[每日赞美诗]20191017 每一次我赞美主

我当以四周年团歌音阙诗听

随机推荐

100幅罕见的获奖照片

迪丽热巴化身复古摩登女郎,尽情展现明媚姿态#迪丽热巴 #写真 - 抖音

小女孩简笔画枫桦实验幼儿园攻略教程简笔快乐的幼儿园简笔画小女孩简

暖环十二星座-二次元暖心影集-话本小说网

朦胧江南水乡唯美高清桌面壁纸

青春校园偶像剧 高冷学霸的校园剧-春风号

霸气超拽黑白女头像 精选社会女头像