吴青峰

相关图片

【图】吴青峰女友是张韶涵吗 二人床照遭好友曝光

张钧甯

张钧甯再次出演吴青峰新歌mv 神仙友情令人羡慕 - 360娱乐,你开心就好

吴青峰,张钧甯亲密互动狂秀友情,晒自拍照皆素颜出镜

汪小菲生日王力宏范晓萱出席,大s热情拥抱吴青峰

随机推荐

惊叹号 周杰伦全专辑mv 1080p

鞠婧祎性感写真图片桌面壁纸

她叫周显欣.她和巩俐长得挺像的,不只是脸,连身材和身高都差不多一样.

dota2冰女身心特效及外观一览

有多么期待五年后版本的小舞登场,想看看她的颜值究竟会变成什么样子

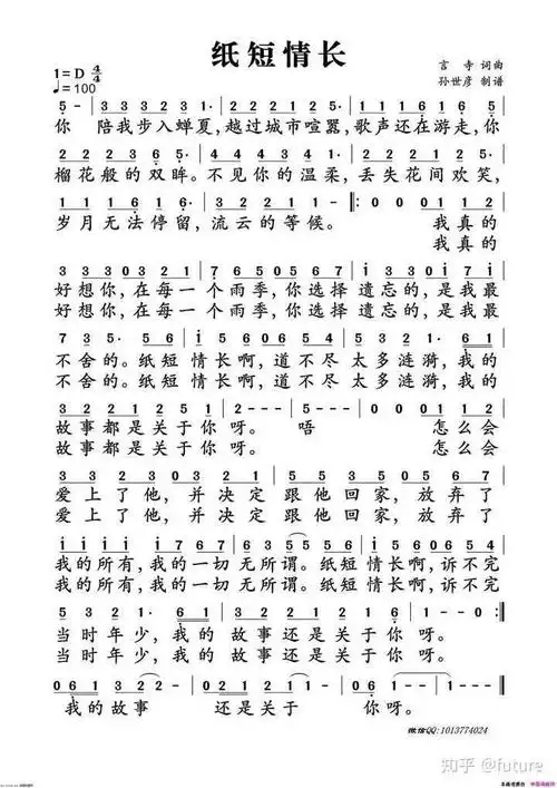
流行歌曲口琴简谱 口琴谱子大全流行歌曲简单-图片大观-奇异网

英雄联盟手游影流之镰出装lol手游凯隐打野出装一览

2019抗战片排行榜最经典中国历史抗战电视剧排行榜抗日神剧除外2