新人教七年级下学期数学提高题含答案

相关图片

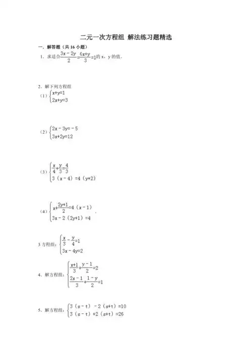
七年级下册数学试题及答案精编

七年级下期中数学考试试题人教版

2021深圳罗湖七年级下册数学期末考试卷

七年级数学下册检测试题

完整版七年级数学下册垂线练习题

随机推荐

唐嫣的腿好长!

潮趣史莱姆牧场2碧翠丝乐步粘土人goodsmile

方媛曾承认自己花心嫁给郭富城7年她是个聪明的女人

回宝珍饺子馆(长通路店)

苏妲己温碧霞我的人生也经历过跌宕起伏感谢我的豪门老公

精选流行男发100来款送给大家|脸型|纹理烫|头型|男士发型|短发_网易

发型| 爱心和丝带蝴蝶结的终极少女感

下载诗篇第94篇歌谱