5# 猫耳·gj·sundayneko(施工完毕)

相关图片

猫耳好戳我

手绘线稿猫耳少女4

猫耳少女系列绘画学习

猫 #猫耳 #猫耳女孩 #猫耳少女 #铅笔手绘 #手绘 #画 #画画

动漫人物简笔画有猫耳

随机推荐

一学就会的简笔画.#动物简笔画 #儿童简笔画 #抖音图文 - 抖音

耳朵后靠头发的位置有这么大个痦子!

香甜诱惑的饼干高清壁纸

2020流行歌曲无广告2020最新歌曲2020好听的流行歌曲78华语流行串烧

肉许

军阀太太单人情头

温客行二周年 | 难寻少年时 总有少年来

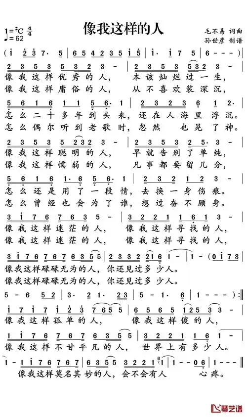
像我这样的人简谱-毛不易-直击心坎,治愈人心1