迪丽热巴超话 头像 #迪丽热巴拉小提琴行程图

相关图片

迪丽热巴头像

迪丽热巴//爱豆头像//by神赐小亨

迪丽热巴照片最美头像 高清好看的迪丽热巴最美照头像

迪丽热巴头像

迪丽热巴首位破3000w点赞女明星# flag*头像「壹」999595

随机推荐

爱情应该有的样子尹亦可杨颖周边 杨颖angelbaby签名照片亲笔保周边

黄贯中弹奏福利引回忆杀早年状态青涩又帅气中分发型是精髓

白毛 #双马尾 #二次元 #壁纸 - 抖音

情趣内衣 性感 睡衣女透明骚蕾丝全透薄纱成人火辣睡裙长款9032肤

【易烊千玺】试问,谁不为#易烊千玺#的腹肌着迷呢

50岁,换发型就选这一款,哪怕头发花白依然很有型|短发|发色|男士|发际

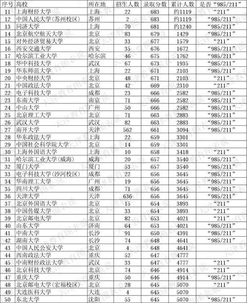
2021天津高考普通本科a批次高校录取分数排名

tnt的应援色是什么颜色?2应援色是春海月明的是?