谁能给我发几张侯梦瑶的照片?谢了!

相关图片

新人侯梦瑶挑大梁多情江山曝剧照

2016年10月3日 20:38 关注 侯梦瑶 古装 多情江山 评论 收藏

侯梦瑶

侯梦瑶

侯梦瑶

随机推荐

与巩俐假戏真做,分手大11岁丁嘉丽,今娶小15岁娇妻成功洗白_孙红雷

ps海报合成练习

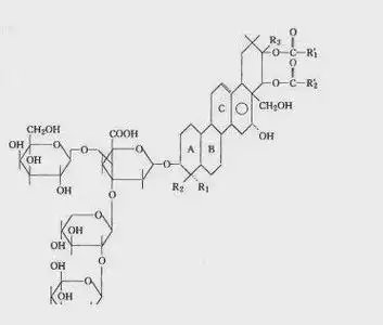
皂素作为一种配糖体,对胃肠膜有刺激性,并且还会破坏血液里的红细胞

个性设计唯美文字图片电脑桌面壁纸

组图:刘璇开心试婚纱 薛佳凝莫慧兰任伴娘_高清图集_新浪网

2019年福建省乡村教师素质提升工程省级培训(小学体育班)第三阶段

王蒙《青卞隐居图》

刀郎两任妻子前妻生女儿40天不堪贫困离开现任多年不离不弃