公制螺纹螺距规格

相关图片

标准螺距参数表

螺丝攻牙螺距规格

梯形螺纹基本尺寸表螺距6-10

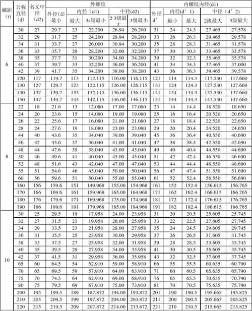
梯形螺纹(内外螺纹)基本尺寸表螺距2-24

螺纹螺距对照表

随机推荐

大叔小馆定档517郭京飞展现厨艺

手相中生命线的解释之三双重生命线具有逢凶化吉的功能

上传时间:2020-02-04 22:11:10

纯色复古花纹图案高清电脑壁纸

斗罗大陆:唐三海神造型提前曝光,身披黄金战甲,手持镶钻三叉戟无比

小丑 #joker #动漫头像 #欢迎 - 抖音

北京快乐8免费计划软

不要在美化关羽了,真实的关羽是这样的|徐晃|颜良|吕布|张飞|汉朝|三