转让yuanin dio ktv音响-诸暨二手市场 - 诸暨在线

相关图片

广州高价二手回收ktv酒吧舞台灯光音响led屏吧台沙发设备 - 佛山58

百威音箱#舞台音箱#二手音响 - 抖音

舞台音响12寸户外演出专业大功率大型ktv婚庆音箱功放设备套装

二手jbl专业单15寸舞台ktv会议演出婚庆音箱乐队排练音响

二手功放机 大功率 专业_原装猛士二手功放机大功率专业ktv酒吧 舞台

随机推荐

刘亦菲‖倩女幽魂‖聂小倩#刘亦菲去有风的地方

朋友圈文案生活感悟经典语录手写分享

宠物项圈名牌大型刻字狗牌牛仔定制铃铛丢失项圈

桃花爆棚惹人嫉 盘点女人脸上的桃花痣

戚薇妆容惊艳,充满霸气展现自信独立!

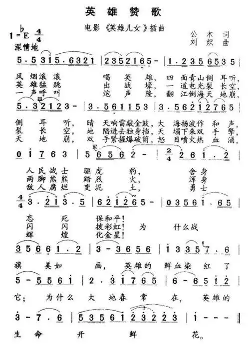
英雄儿女歌词

所以她的照片大多都是有种会说话的感觉,这些泳池写真张馨予真的十分

阿斯美复方甲氧那明胶囊60粒1瓶哮喘支气管哮喘喘息性支气管炎呼吸