紫色星空晚礼服梦幻长裙宴会主持人气质优雅渐变色网纱礼服裙春夏

相关图片

外贸货源欧美万籁星空蓝色一字肩宴会年会主持人演出婚纱礼服供应

婚纱梦幻星空渐变裙蓝色宴会礼服裙年会演出服晚礼服

dior2017秋冬经典星空礼服,angelababy的最爱?闪耀如银河

蓝色主持人晚礼服星空钉珠超仙轻奢高定敬酒服年会一字肩模特走秀

18年新款baby明星同款星空渐变亮片钉珠年会宴会礼服长款连衣裙

随机推荐

郑爽杨洋

南孚nanfu7号15v聚能环碱性电池200个卡by视频

[字幕] [tvb][日月神剑i] [郭晋安/ 张卫健] [720p] [匹配gotv版本 20

这张早期的照片,随意摆拍就是这么好看,蔡依林的笑容实在太有感染力了

任嘉伦童年图片被扒出,外貌不是关注点,却暴露了最真实家庭条件

绿四粒电池5号7号电池 碳性儿童电动玩具车五号aa锌锰干电池批发

高颜值寸头男神个个都帅爆了,彭于晏板寸短发造型坏笑痞帅透露想去

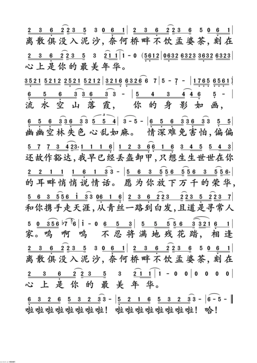
无情画 王呈章 歌谱 简谱