版本吉他谱像我这样的人简谱像我这样的人歌词像我这样的人钢琴谱像我

相关图片

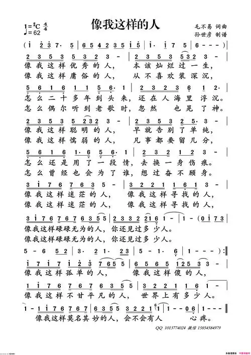
像我这样的人简谱

简谱:《像我这样的人》-毛不易演唱

像我这样的人简谱(歌词)_刘宇宁演唱_momoliu制谱

影片《二手杰作》发布毛不易献唱主题曲《像我这样的人》mv_歌词_儿子

像我这样的人

随机推荐

1号usb可充电电池锂电芯恒压15v大容量燃气热水器一号d型煤气灶

组图:微博之夜现场 王一博张艺兴刘亦菲杨幂等获年度男女神

蒋欣演过的电视剧有哪些古代(盘点小脸女神蒋欣演过的古装电视剧,美不

穿好比基尼,潜水更动人

张紫宁这肉乎乎的美背和脚丫子娱乐圈中独一份哦

640_960竖版 竖屏

【小盘子碟子陶瓷家用可爱】小盘子碟子陶瓷家用可爱品牌,价格 - 阿里

爆乳连体泳装美女性感湿身诱人写真