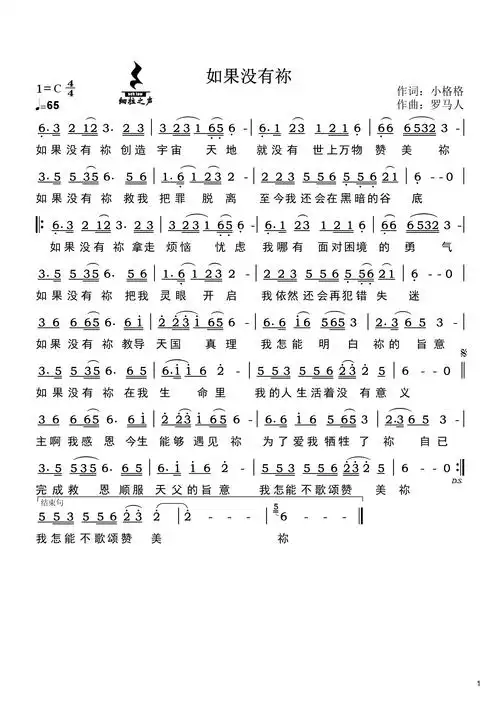
歌谱《如果没有你》

相关图片

如果没有你 莫文蔚 歌谱 简谱

如果没有你 简谱_简谱_乐谱吧

如果没有你简谱 | 桃李醉春风记谱园地

如果没有你高清打印歌谱简谱

如果没有你 版 莫文蔚 歌谱 简谱

随机推荐

周杰伦巴黎街头随拍##周杰伦巴黎街头背影照

恭喜小北!易烊千玺无悬念获百花最佳新人奖

周笔畅要来重庆了#近日,@周笔畅的工作室发微博公布了笔笔九月的公开

中性风女生适合什么发型 推荐燕尾短发又酷又美_时尚发型 - 美发站

xiaomi米家小爱音箱智能音箱pro小爱同学蓝牙ai智能机器人遥控音-阿里

每天都做深蹲,它的关键技术要领是什么?练得久不代表你理解动作

简介:硬糖少女拳击运动风造型写真图片,分享一组硬糖少女303图片给

北美洲和北美地区有什么不同? 你问我答网 - 你问我答网 国内优秀的知