2020最新男生小腿汉字纹身图集小腿纹什么图案好看6

相关图片

双花臂纹身图片

鲤鱼旗纹身图片_手臂老传统鲤鱼旗纹身图案

男生超好看半臂纹身

2020鹿纹身图案大全男鹿头纹身的寓意24

对于男生大面积纹身社会花臂等情况你怎么看

随机推荐

[tfboys][分享]190208 饭制王源动漫q图,吐舌头软萌贼可爱

宋小宝:成名后抛弃霍晓红,再婚娶粉丝王雪,如今逆袭成大帅哥

玺子哥 相册里面的千玺#帅炸 #易烊千玺壁纸 - 抖音

the muses of urania and calliope, 1634 by simon

王源运势 王源的运势

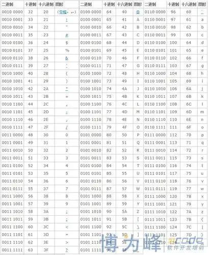
unicode编码表

男生背影头像风景

多图甚点!穷学生的2019年盘点:过去一年里值得买数码产品清单