戚薇又解锁新显高技巧,喇叭裤包裹高跟鞋增高10cm,快学学!

相关图片

戚薇不愧为"旗袍女神"!

戚薇真是奇怪手从衣服的腋下穿出来时尚真的让人看不懂

戚薇

简介:戚薇高马尾性感酷飒写真图片,分享一组戚薇图片给大家,图中的

原创戚薇身穿米色西装配高马尾性感撩人而风衣配阔腿裤冷艳高贵

随机推荐

李沁机场街拍,鹅黄色的衬衫搭配阔腿牛仔裤,干练与休闲兼具,简约好看

氢燃料电池示意图

颜值爆表的李易峰笑起来也有鱼尾纹了? 网友: 怎么都帅的峰峰

司藤|景甜

uttermost单人座布艺沙发

小学生全国标准一年级幼儿园本子田字本英语数学语文生字练字本日格本

绿色创意食品安全背景素材免抠素材免费下载_觅元素51yuansu.com

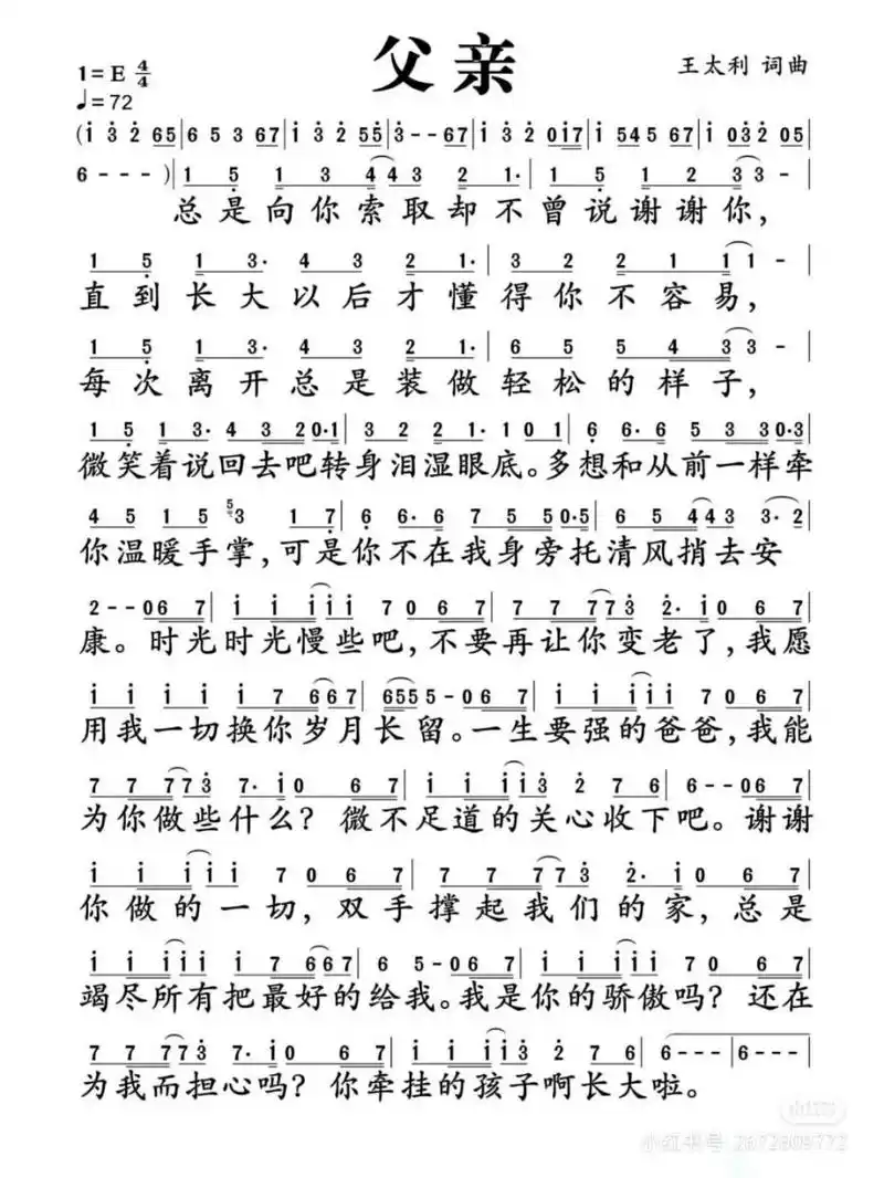
父亲简谱