梯形螺纹自锁

相关图片

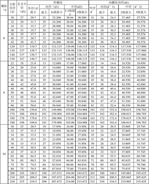
梯形螺纹基本尺寸表螺距2-5

梯形螺纹各部分名称

梯形螺纹基本尺寸表12-24

"分层法"车削梯形螺纹

螺距是10的梯形螺纹,它的牙底牙顶是多少呀

随机推荐

杨采钰身穿edition 春季春绿色素绉缎上衣搭配牛仔裤私服拍摄.

46岁的李小冉整个人的状态以及服装搭配使得她显得越来越年轻.

奔驰迈巴赫gls600防弹 优惠50万送大礼_凤凰网汽车_凤凰网

谁有异瞳银发少女图

可爱又憨憨的头像高清呆萌可爱的憨憨沙雕头像图片

李承铉戚薇结婚照(戚薇李承铉婚纱照曝光)

福禄寿

王子变青蛙:总裁明道突然醒了把陈乔恩吓坏了,明道突然失忆了!