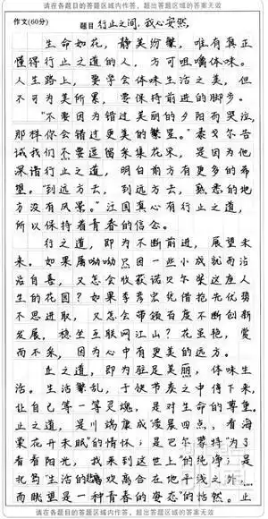
衡水中学到底有多狠学生字迹堪比印刷体看的赏心悦目

相关图片

怎么练衡水体汉字

中考学霸笔记手写体字帖初中生衡水体临摹楷书古诗词作文练字帖

衡水体中文模板怎么练

衡水中学学霸卷面展示,什么字体才能让阅卷老师给你加分?

衡水体中文模板怎么练

随机推荐

文安某购物中心惊现打架斗殴事件!

爱的阶梯罗珊怀孕想拿走楚董所有财产谁知孩子却不是他的

>专题怒族姑娘 变化二 草果产量占全国三分之一 过去的怒江,各族人民

微信头像angelababy杨颖

温客行昨天的美貌不止坠崖跟红衣

王霏霏最新机场私服更新身着军绿色工装风套装

娱乐 综艺 > 2016超女首批20强入住女声学院 2016超级女声

男士百搭摩根烫