新中式二层别墅就是这么"高级",6室2厅带堂屋,这造价谁都能盖

相关图片

现代风格的二层美宅别墅 - 轩鼎房屋图纸

五款农村二层房子设计图,你最喜欢哪款发您看看?#农村自建别墅 - 抖音

b7841两层网红新中式别墅设计图纸农村简单二层小洋楼新款自建房

别墅设计图纸现代风格二层房屋设计图两层楼房施工图纸13人付款398

b759二层新中式别墅设计图纸农村网红简单经济型自建房楼房小洋房

随机推荐

七里香

刘诗诗天鹅颈直角肩太美,可臀去哪了?

网评最美古装女神,热巴第十,刘诗诗赢杨幂,冠军是真仙女吧

严浩翔高会#有个小男孩自拍眼睛都是带钩子的06

中国红喜庆背景,高清中国红喜庆背景图片/素材/模板,免费中国红喜庆

奥西劳德品牌高端轻奢男装西服男夏季新款高档薄款时尚休闲小西装潮流

一个人走路的背影图片

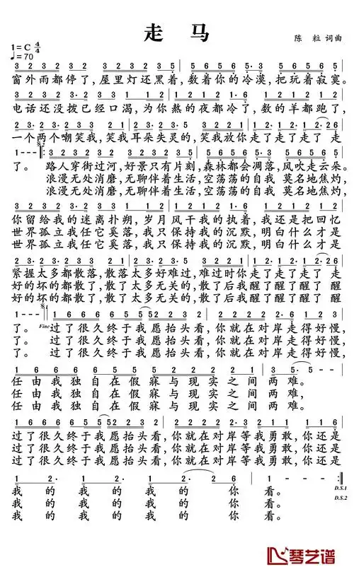
走马简谱-陈粒-散了后我醒了醒了醒了1