循风歌词表达了什么情感

相关图片

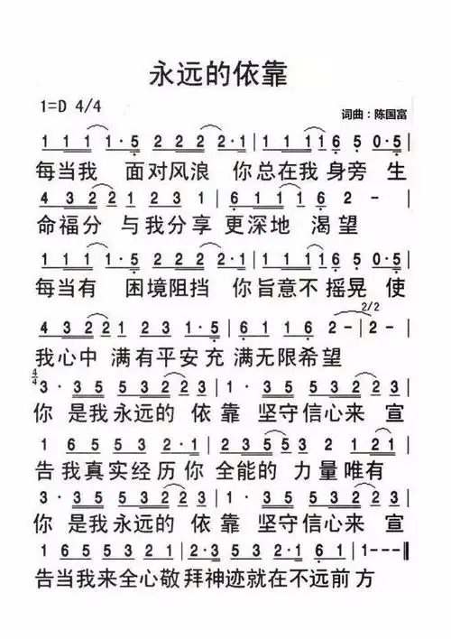
约书亚乐团更深认识你歌谱

相关歌谱

张千一曾深入青藏高原,被那震撼心灵的美景激发,从而创作出一首蕴含

歌谱 > 正文飞得更高简谱

主要把你带向高处歌谱主要把你带向高处歌谱伴奏

随机推荐

描述: 堕落天使艺术-设计高清壁纸 当前壁纸尺寸: 1280 x 800

关晓彤韩国时尚设计蝴蝶结发夹后脑勺盘发鲨鱼夹气质抓夹发饰女

张馨予明星壁纸21

《王羲之书论四篇》房弘毅书法字帖(36)_毛笔楷书字帖下载_书法爱

小鬼-王琳凯壁纸/背景图

2010年与演员靳东合作,出演电视剧《青春不言败》,饰演"阿梅".

歌手孙露个人资料身高 歌手孙露老公是谁 - 歌词译

赤壁_杜牧ppt