高清晰的向日葵花特写 壁纸 - 1280x1024

相关图片

《梅花特写》严焕文摄/文.2021.2.8.

小麦特写

微妙的白百合花特写镜头

粉色兰花花特写,黑色背景 壁纸 - 1920x1080 全高清

一组荷花特写

随机推荐

超模级腰线!刘涛的芭莎大片发布,网友们纷纷沦陷了!

【4k60帧】2004年无与伦比演唱会分p纯享版

涨知识了原来他们是亲父子看似八竿子打不着但长相骗不了人

这个组有没有看过山河令的,你们对这对cp咋看呀

没人搬吗,杨洋康师傅西安见面会!

抖音最火伤感背景图图文话题讨论

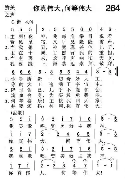
你真伟大,何等伟大) / 南窗听雨编辑相关歌谱:[简谱]第2011首 -主

很多小伙伴都喜欢使用猪猪的表情包,最近抖音有一个非常可爱的猪猪