一般螺栓拧紧力矩表 对未规定拧紧力矩要求的紧固件(螺栓,螺钉,螺柱)

相关图片

螺栓扭矩对照表

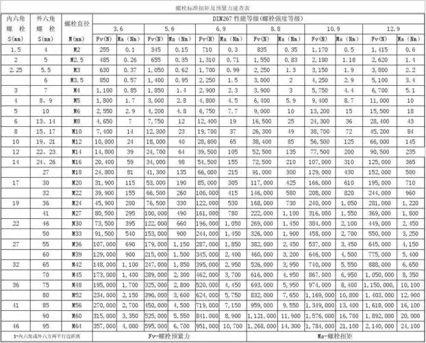
螺栓标准扭矩及预紧力速查表

螺栓标准扭矩及预紧力速查表

德国din标准螺栓力矩表

螺栓扭紧力矩表

随机推荐

婚礼q版手绘头像定制漫画情侣卡通人物结婚 - 抖音

手绘的英文字母

犬系恋人车银优剧照脸蛋天才的数学老师全新人设引发关注

ups电池开关盒到ups之间连线图

黄景瑜-头像

斜方肌这么有用,到底是谁还在消除它啊!

suntek3条装男士内裤三角裤棉男生撞色u凸囊袋底裤透气吸汗弹力裤衩头

原神人物史莱姆化璃月篇二