护栏扶手上海铁艺楼梯实木围栏烤漆落地飘窗楼梯扶手

相关图片

铁艺楼梯栏杆护栏网红楼梯设计

厂家生产销售家用铁艺楼梯扶手护栏公寓室内简单铁艺楼梯栏杆

铁艺楼梯扶手实木简约现代家用室内护栏杆飘窗阁楼黑色阳台围栏木扶手

龙华陈总铁艺楼梯扶手栏杆

成都铁艺楼梯厂家扶手栏杆定做价格便宜安全性能高

随机推荐

穿搭灵感丨2021秋冬巴黎高级定制时装周场外街拍

老秦的腹肌锁骨照!

14岁的时候演的《金粉世家》里的白秀珠,那时候就好美了@刘亦菲刘亦菲

鹿晗家庭背景曝光原来这么厉害难怪一定要公开恋情

kca:/ 天才厨神却喜欢做黑暗料理(下)%食戟之灵 %动漫解说 %魂喵动

但因为周厚安原本的身高

爱慕儿童天使小裤中腰三角裤ak122m82

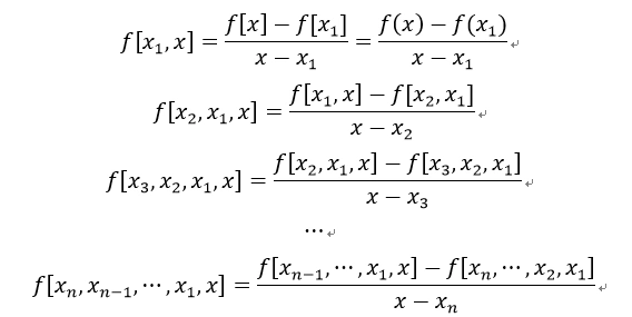
②公式推演牛顿(newton)插值公式是代数插值方法的一种形式