菊花台是周杰伦为电影满城尽带黄金甲量身订做了片尾曲

相关图片

【无损】周杰伦《菊花台》"菊花残 满地伤 你的笑容已泛黄 花落人断肠

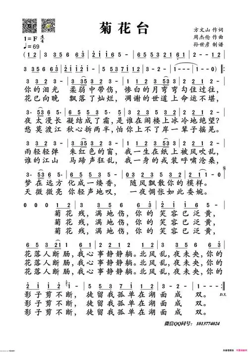
菊花台简谱-周杰伦演唱-方文山/周杰伦词曲-看谱啦

周杰伦 伴奏 菊花台/公主病/minemine/不我爱就拉倒/美人鱼/画沙

坐拥百万粉丝,却拒绝带货,这个摊主有点牛_周杰伦_直播_视频

【tg·ch】周杰伦 - 菊花台mv 1080p修复版

随机推荐

肖战星光大赏精彩舞台回顾 2021超燃红海也继续为你闪耀

2021刘德华巡回演唱会行程安排及时间表

张一山新剧开机,与张天爱同框暴露身高,被调侃只有1米65_网友_韩东

邓伦老婆照片婚纱照怎么回事邓伦的老婆到底是谁

女头像ins高级质感黑白动漫

价值1亿3000万的布加迪只排第二,世界上最贵的10辆车,你想买哪辆?

越狱第一季

【妇科炎症用药】 克霉唑阴道片栓剂 10枚 妇科炎症药阴道用药霉菌性