吴磊唱歌戳中张子枫笑点,调侃吴磊唱歌像熊,两人互动又甜又搞笑_什么

相关图片

吴磊与张子枫官宣恋情甜蜜幸福引发热议网友纷纷送上祝福

张子枫吴磊官宣恋情银幕金童玉女终牵手网友磕的cp成真了

吴磊携手张子枫唱《盛夏光年》,默契合唱太好听了,网友:般配!

想磕青梅竹马cp!吴磊看张子枫眼神太宠溺,真的好像热恋小情侣

吴磊张子枫

随机推荐

英俊帅气的男明星穿西装(穿西装好看的男星只服这16位)(24)

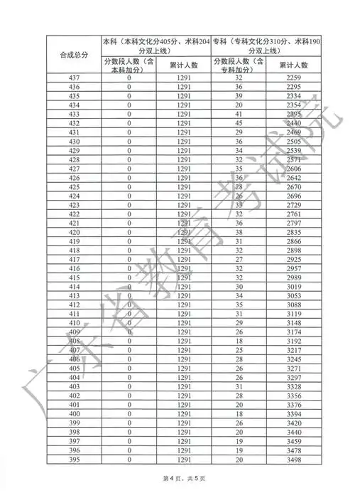
广东省2023年普通高考成绩各分数段数据公布

宋仲基《文森佐》西装穿搭帅出新高度!

这4个要求全占,才算完美身材|腹肌|肌肉|体脂率|翘臀_网易订阅

古力娜扎许魏洲新戏大唐明月开机娜扎脸肉嘟嘟的明显胖了

吴亦凡微博更新:邀请每个你一起观看最酷最帅的吴亦凡!

这大嘴唇子,在午夜里给我无尽的销魂

赖美云:白色衬衫笑容温暖