周杰伦《等你下课》钢琴简谱 99 78

相关图片

等你下课_简谱_搜谱网

光遇笛子乐谱分享-适合笛子弹奏的简谱大全-燕鹿手游网

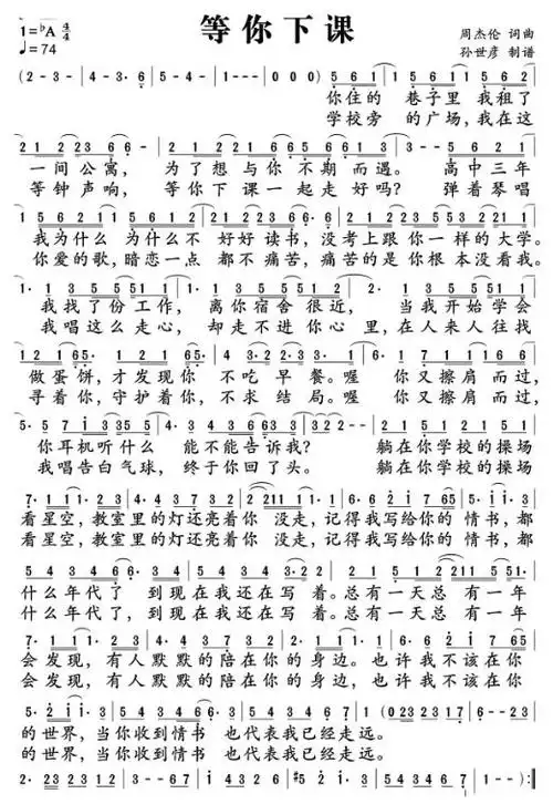
等你下课简谱-周杰伦演唱-孙世彦制谱1

等你下课简谱周杰伦演唱歌曲

光遇琴谱 葬.原谱 sky小奕 #光遇琴谱 #格子谱 #光遇 - 抖音

随机推荐

diy #纸板手工 #幼儿园手工 龙头基本造型完成了.

第五弹七彩课堂趣味暑假之围棋课

美女图片

夜间人处于放松状态,抵抗力下降,长时间湿发容易刺激耳后的面神经

ins小众高冷女生头像成熟点没必要把负面情绪让所有人知道

当日,一场晨雨过后,日出时分,在广西东兴的金滩,"

浙江码星恒锂电池48v24ah新国标雅迪新日电动车专用锰酸锂

陪伴是最长情的告白——记5.20砂子塘新世博学校四(8)班亲子活动