小小molang追剧

相关图片

主页背景图片

追剧

追剧吧影视免费版

小确幸q版插画吃货追剧

追剧人的基本操作是你本人吗

随机推荐

女生自己剪头发图解

这个80后叫李宁果然跟李宁一样能拼 每年卖鞋过亿元

郑爽图片大全郑爽壁纸图片照片合集

原创文颂娴庆祝46岁生日与佘诗曼组饭局庆祝姐妹贴脸合照笑容好甜

这一次,45岁的演员刘涛,让人眼前一亮

汤姆 汤姆头像|超酷的bo62y 丧气汤姆西装头像 高冷帅气的汤姆猫tom

凤凰男欧豪,从海清的神到百亿票房,竟是马思纯高攀了

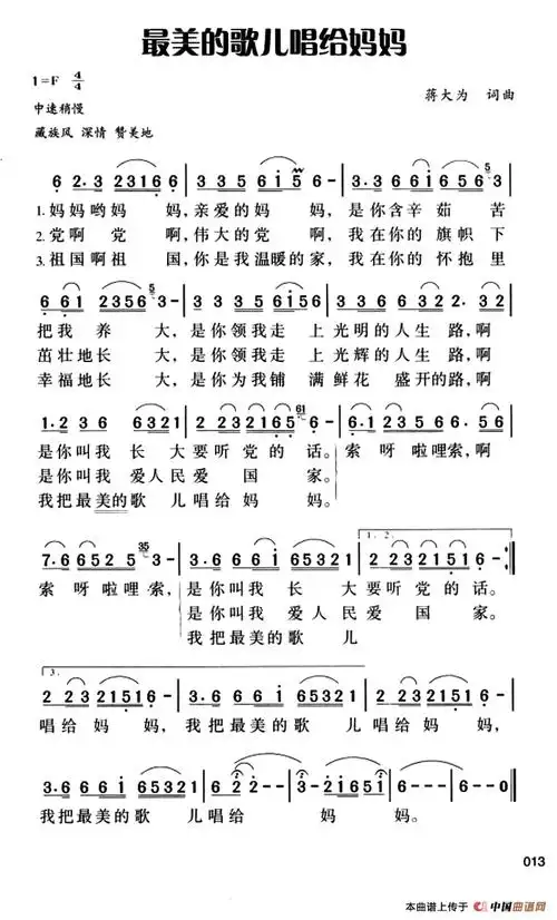
最美的歌儿唱给妈妈简谱_民歌曲谱_中国曲谱网