这对稳了吧怦然再心动王子文跟吴永恩见婆家人姑姑

相关图片

《怦然再心动》比起另三位的友善,王琳王子文的冷硬反倒收获好感

约会反应真实甜过偶像剧,看综艺《怦然再心动》被王子文的颜值性格圈

怦然再心动即将开播王子文美人鱼造型梦幻唯美

综艺怦然再心动大结局王子文发文官宣和吴永恩恋情你看好这对吗

王子文《怦然再心动》情人节特辑,再现不凡穿搭,时尚又不失气场

随机推荐

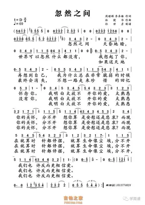
忽然之间简谱 莫文蔚_简谱-sheep吉他网

微胖谭松韵穿这条小白裙好惊艳,网友:我以为是李易峰失散的妹妹

绝版古风男生动漫头像

微信白鹿头像.#白鹿头像 #女明星头像 #气质女头 #女生头 - 抖音

在繁忙的都市生活中,我们时常向往那片碧海蓝天,那波光粼粼的海面

烟嗓女网红翻唱神曲《黄梅戏》,沙哑的嗓音,让人听了特别的舒服

工厂批发假发短发女全头套发减龄帅气2021年时尚新款波波头假发套

912023年8月15日是首个全国生态日,主题为"绿水青山就是金山银山".