乐呵蒸饺图片

相关图片

蒸饺高清图片下载_红动网

【正大玉米猪肉蒸饺图片】正大玉米猪肉蒸饺图片大全_好便宜网

蒸饺子还是非常简单的,蒸锅中加入适量的开水,水开锅

蒸饺 刘秀云

鹅肉蒸饺

随机推荐

不锈钢楼梯扶手合同[1]

萌宠高清壁纸猫

丁程鑫gq盛典##丁程鑫智族gq创意大赏##丁程鑫 我们是彼此的星星和

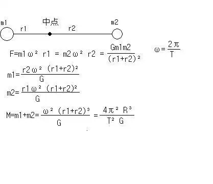
两个星球组成双星,它们在相互之间的万有引力作用下,饶连线上某点做

百家湖精装三房万科品质低于同户型30w

2010年的照片-尼康d60加狗头的时候

满宝馄饨

宋仲基文森佐剧照公开演技美貌人生角色全面更新