霹雳mit〕007*天魔星/炎亚纶*鬼鬼吴映洁"你是我的巧克力"→"哈哈哈

相关图片

炎亚纶演唱会献吻,和吴映洁亲密互动,二人曾约定三十岁结婚_节目_网友

吴映洁公开力挺好友炎亚纶,被指三观不正,网友怒骂:情商太低了

鬼鬼在《大学生来了》第二季第20期迎来的嘉宾是鬼鬼吴映洁和炎亚纶

【鬼纶】炎亚纶吴映洁约定婚约重现cp情(《万万碎》20160606鬼纶cut)

鬼鬼吴映洁炎亚纶近况(鬼鬼吴映洁和炎亚纶)(6)

随机推荐

萌系猫咪壁纸

饺子 堂妈教你做鲜藕猪肉水饺 福小承做的堂妈教你做鲜藕猪肉水饺

第四十二章十二星座美人鱼

一起来画个肌肉男

诗锦原创2021春夏季新款亚麻裤女哈伦九分棉麻休闲裤

回顾何冰跑龙套到演员明星坦言能娶到李海洋像捡到宝

我的英雄学院:萌系爆豪胜己——可爱不是我本意

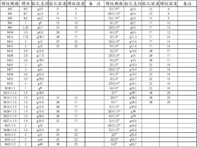
螺纹底孔明细_word文档在线阅读与下载_免费文档