小苹果(筷子兄弟)弹唱版 转c调 钢琴谱 钢琴简谱 钢琴双手简谱 好听版

相关图片

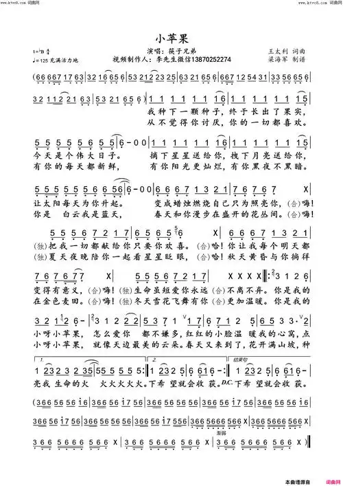
小苹果筷子兄弟演唱

小苹果简谱-筷子兄弟演唱-王太利/王太利词曲-看乐谱网

小苹果-筷子兄弟-降b调 -流行钢琴简谱

小苹果简谱-筷子兄弟演唱-长空一笑曲谱-看乐谱网

电子琴入门简谱小苹果

随机推荐

因为越来越多的男艺人也开始蓄起了长发,就像 2020 年时,我们 金宇彬

如何画出恰到好处的夸张肖像漫画 - 简书

赵丽颖王一博的恋情愈演愈烈,王一博曾说:喜欢比自己大的女生_合作

七月是欧豪的吗娱乐圈中分手复合事件似乎都是很正常的,但是这个月

"我流泪了,因为我早已分不清天上人间"一本能让你安静下来的书 - 抖音

【ak刘彰】《峰顶》超清正脸!|广州国潮音乐节|直拍focus (2021.12.4)

一对情侣在日落时分的海滩上拥抱

全民撸串·烧烤串串(龙湖水晶郦城店)