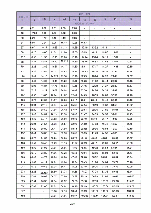
无缝钢管规格表 直径

冷拔或冷轧精密无缝钢管规格表

图片尺寸720x1081

中国无缝钢管规格表

图片尺寸2888x1389

国标无缝钢管规格表

图片尺寸860x1295

无缝钢管外径内径对照表

图片尺寸677x1019

20#无缝钢管 厚壁大口径无缝钢管377*10热轧碳钢钢管规格齐全

图片尺寸1382x989

q345b国标无缝管无缝流体管 专业高压大小口径锅炉无缝管

图片尺寸800x1614

无缝钢管外径内径对照表

图片尺寸860x1216

常用无缝钢管规格表

图片尺寸738x1102

最全无缝钢管尺寸规格表

图片尺寸800x1125

无缝钢管尺寸规格表

图片尺寸893x1263

无缝钢管规格表无缝钢管管径尺寸大全

图片尺寸792x1119

无缝钢管常用型号直径180热轧精密无缝管

图片尺寸720x1011

无缝钢管尺寸规格表

图片尺寸772x1170

无缝钢管规格表

图片尺寸823x1193

无缝钢管外径内径对照表

图片尺寸860x1216

无缝钢管规格表

图片尺寸920x1302

无缝钢管规格表-热轧无缝钢管yb231-70

图片尺寸1242x1674

无缝钢管尺寸规格表

图片尺寸772x1203

无缝钢管理论尺寸规格表

图片尺寸1173x719

国标无缝钢管规格表_第1页

图片尺寸920x1301