迪丽热巴的歌

迪丽热巴聂九罗

图片尺寸690x922

事实证明31岁的定毯神针迪丽热巴终于上道了

图片尺寸640x434

《花少5》迪丽热巴素颜现身沙特,头发乱糟糟,裙子被吐槽像麻袋

图片尺寸640x960

迪丽热巴口紫

图片尺寸690x920

迪丽热巴《你好,星期六》唱维语歌啦 .

图片尺寸1440x1920

迪丽热巴碎钻流苏裙

图片尺寸690x1034

迪丽热巴穿了吊带红裙

图片尺寸690x891

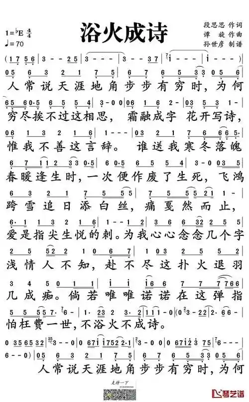
浴火成诗简谱迪丽热巴的歌声究竟有多魔性让毛不易不再消愁

图片尺寸1500x2122

迪丽热巴超话#愚人节站姐团建# 20201231 《打起手鼓唱起歌》舞台

图片尺寸480x641

梦醒时分简谱梦醒时分歌谱迪克牛仔演唱歌曲

图片尺寸500x715

迪丽热巴一听到《打起手鼓唱起歌》就秒进状态,太美啦!

图片尺寸644x360

迪丽热巴能唱会跳##迪丽热巴唱维语歌

图片尺寸690x1085

事实证明31岁的定毯神针迪丽热巴终于上道了

图片尺寸640x956

听歌跨年演唱会迪丽热巴打起手鼓唱起歌

图片尺寸600x900

浴火成诗简谱迪丽热巴的歌声究竟有多魔性让毛不易不再消愁

图片尺寸1500x2122

愚人节站姐团建##八十家站姐发了迪丽热巴

图片尺寸690x1036

dlrb#迪丽热巴枭起青壤#dlrb#迪丽热巴# 这里有迪丽热巴的歌迷吗?

图片尺寸1919x1067

歌曲麦浪 #迪丽热巴 #向全世界安利 还记得19年热巴的那 - 抖音

图片尺寸1080x1620

傲娇与偏见 迪丽热巴 歌谱 简谱

图片尺寸2480x3508

浴火成诗简谱-迪丽热巴/毛不易演唱-电视剧《烈火如歌》片尾曲1

图片尺寸2105x3393