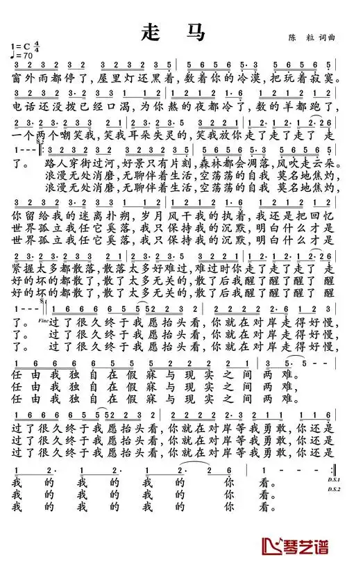
陈粒走马无限延音编配版

相关图片

歌曲简谱陈粒走马免费高清简谱歌谱流行弹唱网

走马简谱-陈粒-散了后我醒了醒了醒了1

走马简谱-陈粒-散了后我醒了醒了醒了-看乐谱网

歌谱 > 正文 走马为陈粒首张专辑《如也》 中的曲目.

走马c调六线吉他谱-虫虫吉他谱免费下载

随机推荐

邓伦#帅气的白马王子

简笔画:小动物简笔画.#跟着抖音学画画 #亲子简笔画 #一学 - 抖音

鲁迅最牛讽刺中国最伟大的艺术是男人扮女人被讽刺者全国闻名

演员林依晨青春可爱照片集锦

红archer

女生锁骨头像

王一博出任奥运会资格系列赛·上海 推广大使# 弘扬体育精 - 抖音

picture